146954-75-8
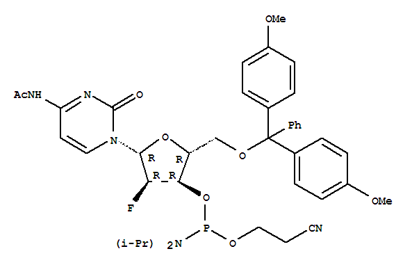
- Product Name:DMT-2’-F-dU-CE-Phosphoramidite
- Molecular Formula:C39H46 F N4 O8 P
- Purity:99%
- Molecular Weight:748.788
Product Details;
CasNo: 146954-75-8
Molecular Formula: C39H46 F N4 O8 P
Quality Factory Supply 99% Pure DMT-2’-F-dU-CE-Phosphoramidite 146954-75-8 with Efficient Delivery
- Molecular Formula:C39H46FN4O8P
- Molecular Weight:748.788
- PKA:9.39±0.10(Predicted)
- PSA:150.86000
- LogP:6.45918
146954-75-8 Relevant articles
Oligonucleotide with protected base
-
Page/Page column 78, (2016/07/27)
The present invention provides a protect...
BASE-PROTECTED OLIGONUCLEOTIDE
-
Paragraph 0371, (2015/01/18)
The present invention provides a protect...
OLIGONUCLEOTIDE WITH PROTECTED BASE
-
Page/Page column, (2013/10/22)
The present invention provides a protect...
Antisense modulation of CD40 ligand expression
-
Page/Page column 18, (2008/06/13)
Antisense compounds, compositions and me...
146954-75-8 Process route
-
-
102691-36-1
N,N,N',N'-tetraisopropyl 2-cyanoethylphosphorodiamidite
-
-
146954-74-7
2'-deoxy-2'-fluoro-5'-O-(4,4'-dimethoxytrityl)uridine
-
-
146954-75-8,177314-23-7,177314-24-8
5'-O-(4,4'-dimethoxytrityl)-2'-deoxy-2'-fluorouridine-3'-O-[(2-cyanoethyl)-N,N-diisopropylphosphoramidite]
| Conditions | Yield |
|---|---|
|
With
1H-tetrazole; N-ethyl-N,N-diisopropylamine;
In
dichloromethane;
at 20 ℃;
Inert atmosphere;
|
67.3% |
|
With
triethylamine;
|
67.3% |
-
-
2-(Cyanethoxy)-bis-N,N-(diisopropylamino)phosphane
-
-
146954-74-7
2'-deoxy-2'-fluoro-5'-O-(4,4'-dimethoxytrityl)uridine
-
-
146954-75-8,177314-23-7,177314-24-8
5'-O-(4,4'-dimethoxytrityl)-2'-deoxy-2'-fluorouridine-3'-O-[(2-cyanoethyl)-N,N-diisopropylphosphoramidite]
| Conditions | Yield |
|---|---|
|
With
N,N-diisopropylamine tetrazolide;
In
dichloromethane;
at 23 ℃;
for 8h;
|
90% |
146954-75-8 Upstream products
-
146954-74-7
2'-deoxy-2'-fluoro-5'-O-(4,4'-dimethoxytrityl)uridine
-
124482-92-4
2-cyanoethyl-N,N-(diisopropylamino)chlorophosphine
-
40615-36-9
4,4'-dimethoxytrityl chloride
-
56287-17-3
2'-deoxy-2'-fluorouridine
Relevant Products
-
DMT-2’-F-dC(Ac)-CE-Phosphoramidite
CAS:159414-99-0
-
LITFSI
CAS:90076-65-6
-
4,4'-DI-TERT-BUTYLDIPHENYLAMINE
CAS:4627-22-9





